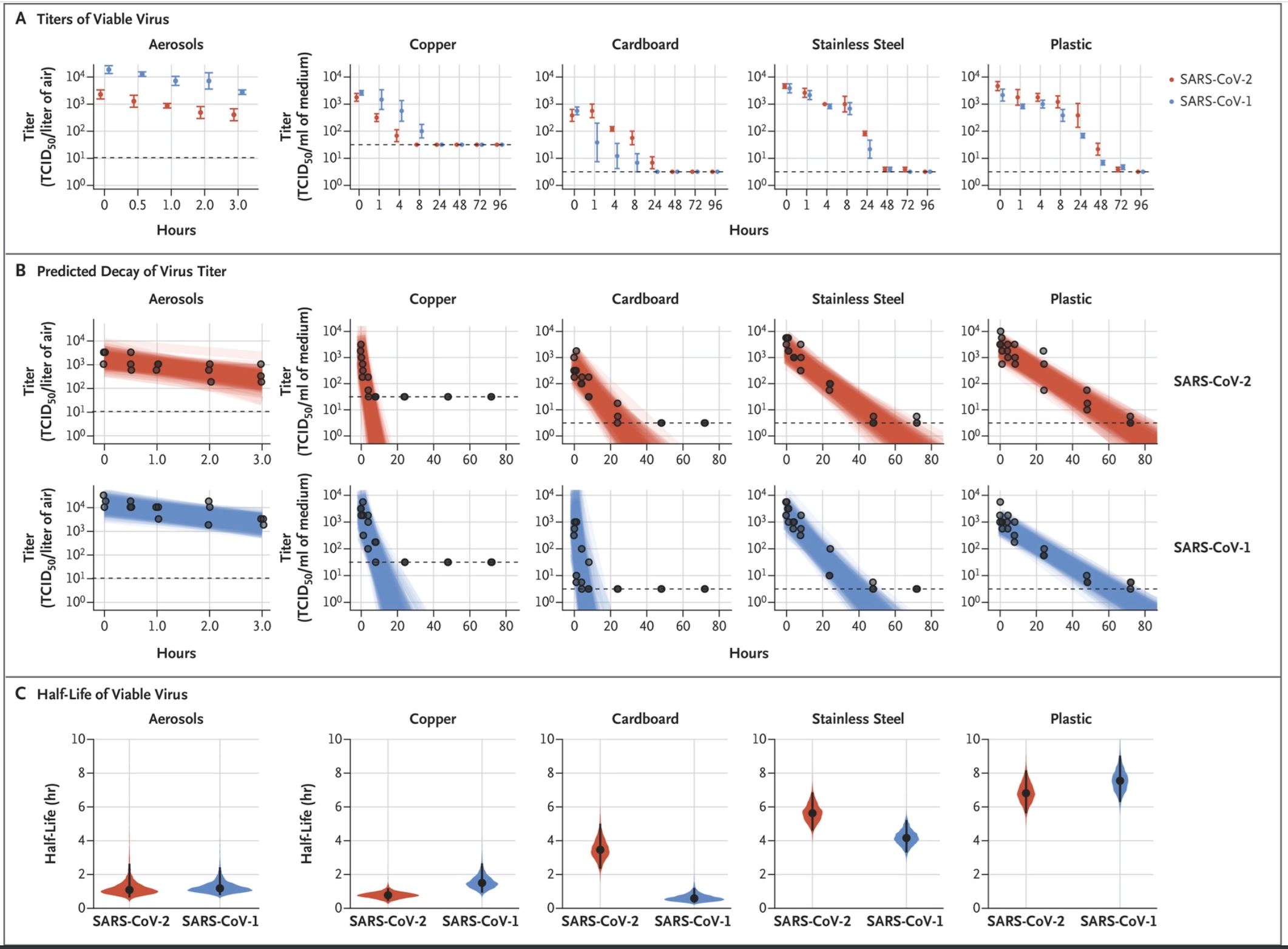
Satu kajian oleh sekumpulan saintis dari Pusat Pengawalan dan Pencegahan Penyakit (CDC), University of California, Los Angeles dan Princeton menunjukkan tempoh hayat virus COVID-19 pada beberapa keadaan berbeza.

Kajian yang diterbitkan dalam New England Journal of Medicine (NEJM) ini telah menggunakan nebulizer bagi mensimulasikan seseorang yang batuk atau bersin dengan pembawa virus COVID-19 ini.
Advertisement
Hasil kajian mendapati, virus berkenaan mampu berada di udara selama tiga jam, dua hingga tiga hari pada permukaan plastik dan keluli serta 24 jam pada permukaan kadbod.

Kajian berkenaan telah mendapat perhatian secara meluas kerana dikatakan mampu memberi ancaman udara kepada orang ramai.
Bagaimana pun, pengkritik mempersoalkan sama ada nebulizer adalah tepat meniru fungsi dan morfologi batuk manusia atau bersin.
Penemuan ini secara tidak langsung mengesahkan saranan profesional kesihatan agar melakukan 'social distancing', mengelakkan sentuhan wajah, menutup mulut dan hidung ketika bersin atau batuk, selain daripada menggunakan sabun dan cecair pembasmi kuman dengan kerap.

Untuk perkembangan lain berkenaan Covid-19, dapatkan maklumat terkini di sini.
Sumber: Jurnal NEJM / BH